What Is Khat? Khat Plant Cathinone.
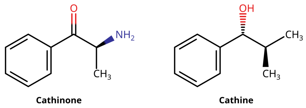
Khat (also spelled qat, chat, or kat, and known in Amharic as ጫት ch’at, in Oromo as Jimaa, in Somali as qaad/khaad, and in Arabic as القات al-qāt) is a flowering shrub native to East and Southern Africa. Khat Plant Cathinone can grow between 10 and 20 feet tall, with narrow leaves that look much like wilted basil. These leaves are valued for their psychoactive alkaloids—chiefly cathinone (the primary stimulant, chemically akin to d‑amphetamine) and its milder breakdown product cathine. Freshly picked leaves contain both, but if they aren’t kept cool, cathinone degrades within about 48 hours into cathine, which is why users favor freshly harvested foliage.

Chewing khat releases these stimulants, producing heightened sociability, excitement, appetite suppression, and a light euphoria—effects comparable to coca leaf chewing in the Andes or betel nut use in South Asia. Traditionally, gatherings of men in khat‐chewing lounges (often with hookah) are social events centered around conversation and community.
When new, khat leaves appear glossy, burgundy‑brown, and fragrant; as they age they fade to a dull yellow‑green and grow tougher. The most sought‐after parts are the young shoots at the plant’s apex, although the mid‑ and lower‑level leaves and stems are also consumed.
Khat Plant Cathinone Legal Status
Khat’s legality varies widely: in many Western countries (including Australia, Canada, the EU, India, New Zealand, Saudi Arabia, the UAE, and the UK) it is classified as a controlled substance. In the US and Turkey, the plant itself isn’t banned, but possessing or distributing its leaves for recreational use is illegal. Conversely, in nations where khat is culturally entrenched—such as Djibouti, Ethiopia, Kenya, Somalia, Sudan, Uganda, and Yemen—it remains legal or unregulated. In Israel, consumption of raw leaves is permitted among Yemenite Jewish communities.
Alternative names include Qat, Kat, Chat, Kus‑es‑Salahin, Mirra, Tohai, Tschat, Catha, Quat, Abyssinian Tea, African Tea, and African Salad.
Khat Plant Cathinone: Chemistry and Pharmacology
Discovery and Stability
Early researchers attributed khat’s stimulating action to cathine (formerly called “katin”), a phenethylamine. However, in 1975 a more potent alkaloid—cathinone—was isolated, and by 1978 its molecular configuration ((S)-2‑Amino-1‑phenylpropan-1‑one) was confirmed. Cathinone is inherently unstable, slowly converting to cathine and norephedrine (both phenylpropanolamines related to amphetamines and the catecholamines epinephrine and norepinephrine). Importantly, khat’s active chemistry—often referred to as Khat Plant Cathinone—should not be confused with methcathinone (“cat”), a Schedule I drug with a similar structure but distinct legal and pharmacological status.

Preservation of Potency
To retain cathinone, harvesters immediately package fresh shoots in moisture‑retaining wraps (e.g., banana leaves or plastic) and often mist or refrigerate them during transport. Without these measures, cathinone levels fall significantly within two days.
Khat Plant Cathinone. Mechanism of Action.
Upon chewing, cathinone and cathine are absorbed via oral and gastric mucosa. Animal studies show they inhibit reuptake of epinephrine and norepinephrine, prolonging their action to produce alertness and, in some cases, insomnia. Cathinone also binds serotonin receptors, underpinning the mild euphoria; in mice, it induces behaviors similar to amphetamine stimulation. Its effects peak around 15–30 minutes post‑chewing, and the liver metabolizes nearly 98% into norephedrine.
Cathine, with a roughly three‑hour half‑life in humans, appears to act on adrenergic receptors to release more epinephrine and norepinephrine. The dopamine agonist bromocriptine can help alleviate khat withdrawal and cravings within 24 hours of cessation.
Effects of Chewing Khat
Short‑Term (First Hour)
- Desired: Euphoria, increased energy, talkativeness, heightened alertness, improved concentration and creativity, elevated mood, enhanced libido, better communicative fluency, and subjective boosts in work performance.
- Undesirable: Restlessness, excessive chatter, hyperactivity, insomnia, irritability, anxiety, hostility, and, in rare cases, transient psychotic symptoms or panic.
Khat Plant Cathinone. Long‑Term Risks.
Frequent khat chewing elevates heart rate and blood pressure for 3–4 hours due to cathinone’s sympathomimetic effect. Its tannins can damage the esophagus and stomach lining, and roughly half of habitual users develop oral mucosal keratosis—a precancerous condition that can progress to oral cancer. Appetite suppression via hypothalamic action delays gastric emptying.
Chronic use is linked to liver pathology (hepatitis, fibrosis, cirrhosis), reduced male fertility (lowered sperm count and motility), teratogenic risks in pregnancy, and potential psychiatric disorders (manic episodes or schizophreniform psychosis), which usually remit after stopping khat and treating with antipsychotics but may recur if resumed.
Conclusion
Khat is a culturally significant African shrub whose leaves—rich in Khat Plant Cathinone and cathine—produce stimulant and euphoric effects when chewed. While valued socially and traditionally, its use carries both short‑term side effects (insomnia, anxiety) and long‑term health risks (cardiovascular, gastrointestinal, hepatic, dental, reproductive, and psychiatric). Legal treatment of khat varies globally, making awareness of its pharmacology and potential harms vital for anyone considering its consumption.
Sources
- Cox, Glenice, and Hagen Rampes. “Adverse effects of khat: a review.” Advances in psychiatric treatment 9.6 (2003): 456-463. https://www.cambridge.org/core/journals/advances-in-psychiatric-treatment/article/adverse-effects-of-khat-a-review/699225B38C422E461F893F9B24DFFB75
- Balint, Erica E., George Falkay, and Gabor A. Balint. “Khat–a controversial plant.” Wiener Klinische Wochenschrift 121.19 (2009): 604-614. https://link.springer.com/article/10.1007/s00508-009-1259-7
- Valente, Maria João, et al. “Khat and synthetic cathinones: a review.” Archives of toxicology 88.1 (2014): 15-45. https://link.springer.com/article/10.1007/s00204-013-1163-9
- Toennes, Stefan W., et al. “Pharmacokinetics of cathinone, cathine and norephedrine after the chewing of khat leaves.” British journal of clinical pharmacology 56.1 (2003): 125-130. https://bpspubs.onlinelibrary.wiley.com/doi/full/10.1046/j.1365-2125.2003.01834.x

