5-MeO-Indole: Physico-Chemical Properties and Synthesis Methods
Abstract
This article presents a comprehensive 5-MeO-Indole overview, including its general information, physico-chemical properties, chemical reactions, synthesis of 5-MeO-Indole, conclusion and bibliography.
General Information About 5-MeO-indole [1-4]
- Other synonyms names of 5-MeO-Indole are: 5-Methoxy indole; Femedol; Indol-5-yl methyl ether
- IUPAC Names of 5-MeO-Indole: 5-methoxy-1H-indole
- CAS number is 1006-94-6
Physico-Chemical Properties of 5-MeO-Indole [1-4]
- Molecular Formula C9H9NO
- Molar Weight 147.17 g/mol
- Melting Point 52-55 ℃
- Boiling Point 176-178 °C at 23 hPa
- Solubility in: alcohols; ether; benzene; toluene; naphtha
- Color/Form: crystalline; beige
Structural formula

Figure 1. Structure of 5-MeO-Indole
Chemical Reactions
In contrast to most amines, 5-MeO-Indole does not exhibit strong basic properties. The aromatic nature of the ring, similar to pyrrole, prevents the lone pair of electrons on the nitrogen atom from being readily available for protonation. However, strong acids like hydrochloric acid can protonate 5-methoxyindole. Interestingly, protonation primarily occurs at the C3 position rather than N1 due to the enamine-like reactivity of the indole system. The protonated form of 5-methoxyindole has a pKa slightly higher than that of unsubstituted indole, as the methoxy group at C5 increases electron density in the ring, slightly reducing the stability of the protonated form. The sensitivity of many 5-methoxyindole derivatives, including tryptamines, to acidic conditions is attributed to this protonation phenomenon.
In terms of reactivity, 5-methoxyindole shares similarities with benzene but is generally more reactive than unsubstituted indole due to the electron-donating effects of the methoxy (-OCH₃) group at C5. This activates positions C2 and C3, making them more susceptible to electrophilic substitution reactions. Additionally, the lone pair of electrons on the nitrogen atom contributes to an aromatic sextet, hindering easy protonation and imparting a lack of strong basicity. However, in the presence of strong bases, 5-methoxyindole exhibits weak NH-acidic properties.
As a weak acid, 5-methoxyindole can form N-sodium 5-methoxyindole in a solution containing sodium in liquid ammonia (NH₃) and N-potassium 5-methoxyindole with the addition of potassium hydroxide (KOH) at an elevated temperature. The presence of the methoxy group reduces the NH acidity compared to unsubstituted indole due to its electron-donating effect.

Figure 2. Acid properties of 5-MeO-Indole
Acetylation of 5-methoxyindole takes place at position 3 when using acetic acid, as the electron-donating methoxy (-OCH₃) group at C5 increases the electron density in the ring, making C3 highly reactive toward electrophilic substitution. In the presence of sodium acetate (CH₃COONa), acetylation occurs at position 1, forming N-acetyl-5-methoxyindole. Acetic anhydride leads to the formation of 1,3-diacetyl-5-methoxyindole, where both N1 and C3 are acetylated.
5-Methoxyindole readily undergoes attachment to unsaturated ketones and nitriles through the α,β-double bond, similar to indole, with the C3 position acting as the primary nucleophilic site. Additionally, 5-methoxyindole exhibits acidophobic properties, meaning it tends to resist interactions with acids, as strong acid exposure may lead to decomposition or protonation at the C3 position.

Figure 3. Acylation of the 5-methoxyindole. 5-MeO-Indole
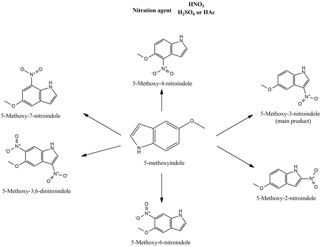
Nitration of 5-methoxyindole typically involves the introduction of a nitro (-NO₂) group onto the indole ring. Since indole is sensitive to harsh conditions, a mild nitration method is usually preferred to avoid overreaction or decomposition. The most common approach employs nitric acid (HNO₃) in the presence of an acid catalyst like acetic acid (CH₃COOH) or sulfuric acid (H₂SO₄).

Figure 4. Nitration of 5-methoxyindole. 5-MeO-Indole
Bromination of 5-methoxyindole introduces a bromine atom onto the indole ring, typically via an electrophilic aromatic substitution mechanism. The choice of brominating agent and reaction conditions significantly affects the regioselectivity of the bromination. Indole undergoes electrophilic substitution primarily at the 3-position due to its high electron density. However, bromination at other positions can occur under specific conditions.

Figure 5. Bromination of 5-methoxyindole (Lewis acid catalyst; acetic acid or DMF). 5-MeO-Indole
Chlorination of 5-methoxyindole introduces a chlorine atom onto the indole ring via an electrophilic aromatic substitution mechanism. The regioselectivity of the reaction depends on the chlorinating agent and reaction conditions. Chlorinating agents are molecular chlorine (Cl₂) – Often used with Lewis acid catalysts (e.g., FeCl₃, AlCl₃); N-chlorosuccinimide (NCS) – a milder alternative that provides good selectivity; Sulfuryl chloride (SO₂Cl₂) – can be used for controlled chlorination; tert-butyl hypochlorite (t-BuOCl) – a selective and mild chlorinating agent. Solvents are acetic acid, dichloromethane (DCM), or dimethylformamide (DMF).

Figure 6. Chlorination of 5-methoxyindole. 5-MeO-Indole
The Mannich reaction is a three-component reaction involving an amine, an aldehyde, and an active methylene compound (such as 5-methoxyindole) to form a β-amino carbonyl compound. In the case of 5-methoxyindole, the reaction primarily occurs at the 3-position of the indole ring due to its high electron density.

Figure 7. The Mannich reaction. 5-MeO-Indole
The Vilsmeier-Haack reaction is used to introduce a formyl (-CHO) or acyl (-COR) group onto electron-rich aromatic systems like 5-methoxyindole. This reaction employs a Vilsmeier reagent, which is generated in situ from DMF (dimethylformamide) and a chlorinating agent such as POCl₃ (phosphorus oxychloride).
For 5-methoxyindole, the reaction typically results in formylation at the 3-position, producing 5-Methoxy-3-formylindole as the major product.

Figure 8. Formylation Process. 5-MeO-Indole
Hydrogenation of 5-methoxyindole can lead to different degrees of reduction, depending on the catalyst, pressure, and reaction conditions. The indole ring can undergo partial hydrogenation (reducing only the pyrrole ring) or complete hydrogenation (reducing both rings), leading to different products.

Figure 9. Hydrogenation Process. 5-MeO-Indole
Dimerization of 5-methoxyindole is possible under certain conditions, typically via oxidative coupling or acid/base-catalyzed electrophilic substitution. The process involves the formation of C-C or C-N bonds between two indole units, resulting in various dimeric structures.

Figure 10. Dimerization of 5-methoxyindole. 5-MeO-Indole
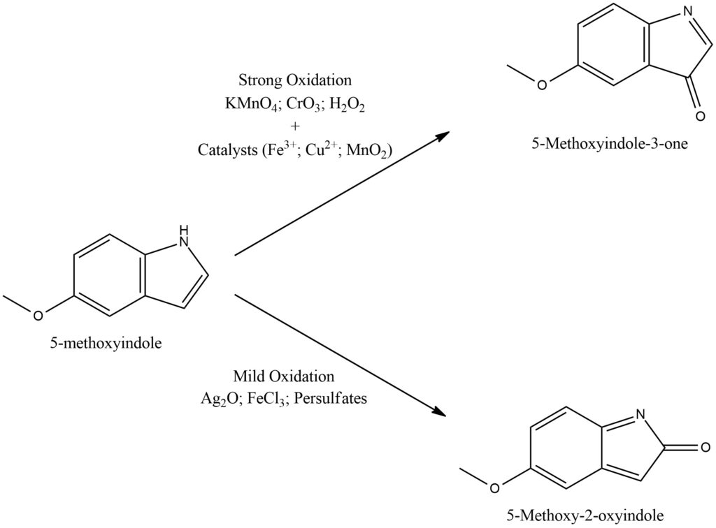
The oxidation of 5-methoxyindole depends on the type of oxidizing agent and reaction conditions. Oxidation can lead to various products, including quinonoid structures, dimers or ring-opened products.

5-Methoxyindole (5-MeO-indole) serves as a key starting material in the synthesis of 5-methoxy-N,N-dimethyltryptamine (5-MeO-DMT), a psychoactive tryptamine derivative. One established synthetic route involves the conversion of 5-MeO-indole into 5-methoxyindole-3-acetic acid, which is then further transformed through amide formation and reduction steps. This pathway is widely recognized in chemical literature for its efficiency and relatively high yields. [5, 6, 7]

Synthesis of 5-MeO-indole [2, 8]
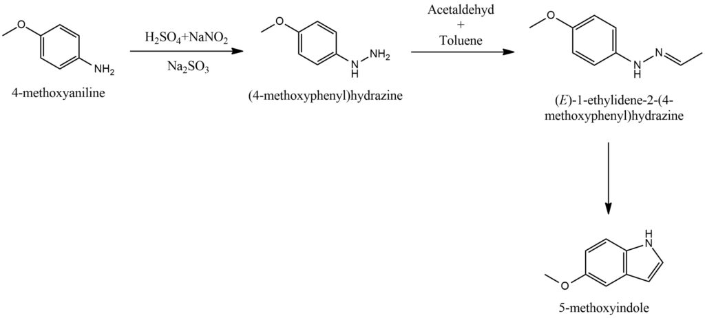
A synthesis is possible starting from para-aminoanisole. This must first be converted to hydrazine by diazotization and reduction of the azo compound and then reacted with acetaldehyde in a Fischer-indole synthesis.
Synthesis of 5-MeO-indole starting from para-aminoanisole and according to the scheme.

Figure 13. General Scheme of 5-MeO-Indole Synthesis. 5-MeO-Indole
Conclusion
The chemical transformations of 5-methoxyindole demonstrate its versatility in organic synthesis, with different reactions leading to a wide range of functionalized derivatives. Electrophilic substitution reactions, such as nitration, halogenation, and the Mannich reaction, occur predominantly at the C-3 position, highlighting the high reactivity of the indole core. The Vilsmeier-Haack reaction efficiently introduces a formyl group at this position, making it a valuable method for further derivatization.
Hydrogenation of 5-methoxyindole can be selective, yielding 5-methoxyindoline under mild conditions or leading to complete saturation of the ring system under high pressure. Dimerization, though less common, can occur under oxidative or acid/base conditions, forming C-C or C-N linked biindole structures.
Oxidation reactions offer another pathway for modifying the indole framework. Mild oxidation leads to 5-methoxy-2-oxindole, while strong oxidants can generate quinonoid structures or even ring-cleaved products. These transformations expand the synthetic applications of 5-methoxyindole in the development of bioactive molecules, pharmaceuticals, and advanced organic materials.
Overall, the diverse reactivity of 5-methoxyindole makes it an important scaffold in synthetic chemistry, with applications in drug discovery and material science. By carefully selecting reaction conditions, it is possible to achieve selective functionalization, leading to tailored compounds for specific applications.
Bibliography
- https://www.chemspider.com/Chemical-Structure.13272.html
- https://de.wikipedia.org/wiki/5-Methoxy-1H-indol
- https://pubchem.ncbi.nlm.nih.gov/compound/13872
- https://bbgate.com/threads/3-1-naphthoyl-indole-synthesis.312/
- https://safrole.com/knowledge-base/5-meo-dmt-the-toad-and-jaguar-connection-in-psychedelic-chemistry/
- US11643390B2 Synthesis of N,N-dimethyltryptamine-type compounds, methods, and uses https://patents.google.com/patent/US11643390B2/d.u.-plaies-et-cicatrisation.html
- https://bbgate.com/b/tryptamines.6/
- N. N. Suvorov, V. N. Shkil’kova, N. Ya. Podkhalyuzina Heterogeneous-catalytic fischer reaction. 13. Catalytic synthesis of 4-, 5-, 6-, and 7-methoxyindoles. Chemistry of Heterocyclic Compounds, Volume 18, pages 802–803, 1982 https://link.springer.com/article/10.1007/BF00506582 https://doi.org/10.1007/BF00506582

